2019年世界气象组织最新的研究报告指出,全球平均气温较工业化前已上升了1.1℃,非常接近2015年所通过的《巴黎协议》提出的1.5°C限定线。受COVID-19的影响,2020年全球二氧化碳排放虽然有小幅下降,但并无法在长时间尺度上阻止全球平均温度的持续上升。2020年9月,国家主席习近平在第75届联合国大会期间提出,中国二氧化碳排放力争于2030年前达到峰值,努力争取2060年前实现碳中和,为实现应对气候变化《巴黎协定》确定的目标做出更大努力和贡献。目前,通过持续减排而限制未来全球增温已是全球大多数国家的共识,也可降低不同地区所将面临的极端天气气候事件的风险。
近日,少女漫画
少女漫画
葛非博士与电子工程学院王皓博士联合南京信息工程大学的专家学者,利用CMIP6模式中的历史和未来模拟数据,研究了不同排放情景下东南亚地区极端降水的变化特征及影响,相关成果以Future changes in precipitation extremes over Southeast Asia: insights from CMIP6 multi-model ensemble为题,发表在地学领域高质量TOP期刊《Environmental Research Letters》上。
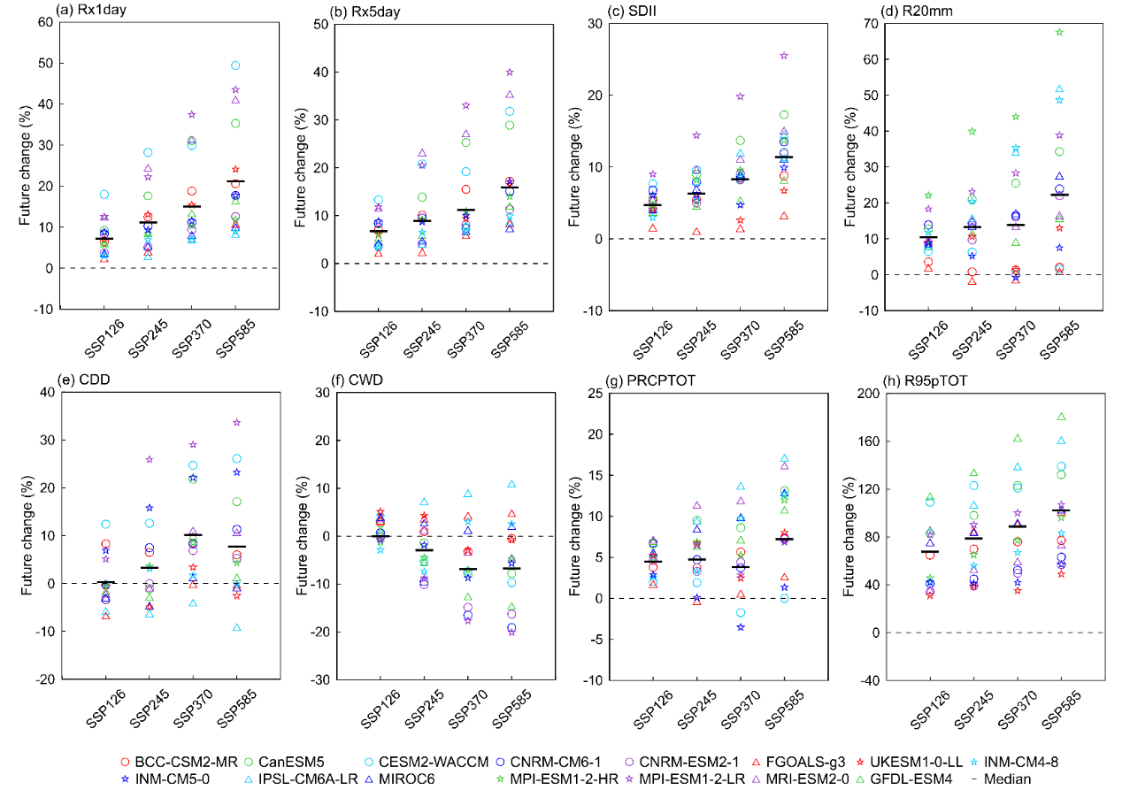
该研究分析了目前CMIP6中的15个模式对东南亚地区极端降水事件的历史模拟和未来变化,发现若继续保持常规发展的高强迫排放情景(SSP5–8.5,fossil-fueled development),该地区未来极端降水事件发生的频次相对于历史基准期(1985-2014)将至少增长1倍;而如果采取更加积极的可持续发展路径(SSP1–2.6, sustainability),该地区极端降水事件的增长将大幅度减小。同时,研究也发现在未来高增暖背景下局地性极端降水事件的强度将更大,发生时期会更加集中,这也与前期利用CORDEX模式和CMIP5模式的研究结果一致(Geet al. 2019)。上述研究再次强调了把全球增暖幅度限制在1.5°C以下的重要性,也为我国“一带一路”倡议的深入推进提供了重要的科学参考。
该研究由国家自然科学基金和四川省科技计划项目等共同资助。
论文信息:
F. Ge, S.P. Zhu, H.L. Luo, X.F. Zhi, H. Wang.2021: Future changes in precipitation extremes over Southeast Asia: insights from CMIP6 multi-model ensemble.Environ. Res. Lett,16 024013.
少女漫画相关的文章:
F. Ge, S.P. Zhu, T. Peng, Y. Zhao, F. Sielmann, K. Fraedrich, X.F. Zhi, X.R. Liu, W.W Tang, L.Y. Ji. 2019: Risks of precipitation extremes over Southeast Asia: does 1.5 °C or2 °C global warming make a difference?Environ. Res. Lett, 14 044015.

图1. CMIP6模式对东南亚地区极端降水指数的历史模拟评估

图2.不同SSP排放情景下东南亚地区极端降水指数的相对变化